
精细化护肤日益发展,针对不同部位的抗皱护肤措施应运而生。
与面上部皱纹(比如额头纹、鱼尾纹、眉间纹等)关注度相比,面下部年轻态关注较少。唇及口周是动态的表情区和运动区,高频率运动使该区域更易产生皱纹、脂肪萎缩及组织下垂,直接影响到面部的衰老形态[1]。
本篇对口周年轻化临床实践相关的高价值文献“A validated grading scale for marionette lines. Dermatol Surg. 2008 Nov;34 Suppl 2:S167-72. doi: 10.1111/j.1524-4725.2008.34366.x. PMID: 19021675”进行全文翻译,对『木偶线』图谱评估量表的建立、验证进行系统学习,以供美容护肤领域临床应用参考。
[全文翻译] 经验证的木偶纹分级量表
-------
摘要
-------
研究背景
Melomental folds,或marionette lines(木偶纹/木偶线),是面部衰老的后果之一。这些由面部运动和衰老过程形成的曲线皱纹从口角向下延伸。
研究目的
建立木偶线分级量表(Marionette Lines Grading Scale),客观量化木偶纹(Melomental folds)的严重程度,并确定该图谱量表(photonumeric scale)在临床研究和实践中的可靠性。
材料与方法
开发了一个五级图谱评分量表(5-point photonumeric rating scale),用于客观量化木偶纹(Melomental folds)的严重程度。9位专家对35名受试者的照片进行了两次评估,分别比较了原始图谱与演变图谱中的木偶纹(marionette lines)。通过计算组内相关系数来评估组间和组内的变异性。
测试结果
专家们达成高度一致性,气泡图(双变量散点图,bivariate scatter plots)显示了专家判断的线性关系。
结论
该五级图谱评分量表覆盖了患者常寻求矫正的木偶线严重程度。量表分层合理,可确保评分的一致性。
-------
正文
-------
研究背景
修复面部皮肤衰老影响是美容手术(cosmetic procedures)的常见目标。Melomental folds,或marionette lines(木偶纹/木偶线),是面部衰老的结果,表现为从口角向下延伸的曲线状皱纹。木偶纹的成因尚不清楚,但可能与重复的面部表情和重力对日益失去弹性的组织的影响有关[1]。遗传因素决定正常衰老的进程[1],暴露于环境毒素如紫外线[2]和吸烟[3]可加速衰老。
注:cosmetic procedures,翻译如下:整容手术;美容程序。
对已形成的木偶纹的美容治疗一直很困难。似乎有一种趋势,即不再使用更具侵入性的除皱术或面部拉皮术来解决木偶纹,因为侵入性较小的手术似乎更有效。通过注射胶原蛋白、聚甲基丙烯酸甲酯、羟基磷灰石钙、透明质酸和自体脂肪移植等填充剂,可改善木偶纹外观[4,5]。这些填充物可以提升嘴角和木偶纹,提供三维治疗,产生令人愉悦、年轻的外观[6]。过去,肉毒杆菌毒素-A注射剂不用于改善木偶纹,但最近,低剂量的肉毒杆菌毒素-A注射剂已被用于治疗中面部和下面部的皱纹[7]。
目前尚无经过验证的标准方法,可在临床环境中客观量化面部皱纹的严重程度。目前存在一种主观评分量表,可评估面部皮肤的整体变化[8]。研究人员开发了另一种图谱分级量表,通过将观察者判断与皮肤复制品的光学评估相结合,以客观量化注射填充后面部皱纹的改善程度[9]。许多客观、定量的评分量表用于测量皮肤表面的三维细节,这些量表还使用皮肤复制品[10,11]和光学分析[12,13]或计算机辅助分析[14]。这些客观量表的重要设备要求限制了它们在临床实践中的应用。
使用非医学主题词:melomental folds, marionette lines, rhytides or wrinkles; perioral or oral commissures; pre-jowlsulcus; and validated scale进行MEDLINE检索时,未发现任何出版物。
注:以上主题词翻译为:
melomental folds(根据上下文,"melomental folds"应译为"颏唇沟",这是指从口角向下延伸至下颌的面部皱纹区域,常与"marionette lines"(木偶纹)等术语并列使用描述面部老化特征);
marionette lines(木偶线);
rhytides([医]皱纹)or wrinkles(皱纹);
perioral or oral commissures(口周或口角);
pre-jowlsulcus(颌前沟);
validated scale(经验证的量表)。
需要一个客观、定量的评级量表来评估木偶线(marionette lines)的严重程度和监测治疗效果。这样的量表可以在临床环境中建立指导方针,并为临床试验结果提供标准、客观的评估。在本文中,我们提出了木偶线分级量表,用于客观量化melomental folds,并建立了临床测量评估,以确定该图谱分级量表的效度、信度、反应度。
注:在临床测量学评估中,这三个术语(validity, reliability, and responsiveness)分别指量表测量目标特征的能力(效度)、结果的一致性(信度)以及对变化的敏感度(反应度)。
方法
评估量表
木偶线分级量表是一种5分制的图谱分级量表,其开发目的是为了客观量化melomental folds的严重程度,如图1A所示。

(A)经演变的验证图像

(B)原始验证图像
注:皮肤皱褶程度分级标准翻译为:
0分表示无可见褶皱,皮肤线条连贯;
1分表示浅褶皱,有轻微凹陷;
2分表示中度深褶皱,在正常外观下特征清晰,但拉伸后消失;
3分表示非常长且深的褶皱,面部特征明显;
4分表示极长且深的褶皱,影响面部外观。
图1.木偶线分级量表
(A)变形图像;(B)原始验证图像
一名临床医生参与了形态学方法的开发和量表的描述。根据质量和在每个代表性标度上的均衡分布,从100名受试者的摄影数据库中选择了大约50张图像(每个标度验证集)。使用基于标准的php计算机随机化程序,从50张图像中随机选取35张图像作为靶区或验证集,最终纳入到池中。
专家对评估量表的验证
九位美容医学领域的专家根据真实人物照片(图1B)中呈现的“木偶线”特征,对35个案例进行了评估,并与经过变形处理的图像进行了对比。演变图像显示了定义的长宽比的阶梯式变化。在初始培训会议和实践案例的讨论之后,每个专家在连续两天内独立地对35个案例进行评估。将数据双重输入数据库,并检查其正确性。
统计分析
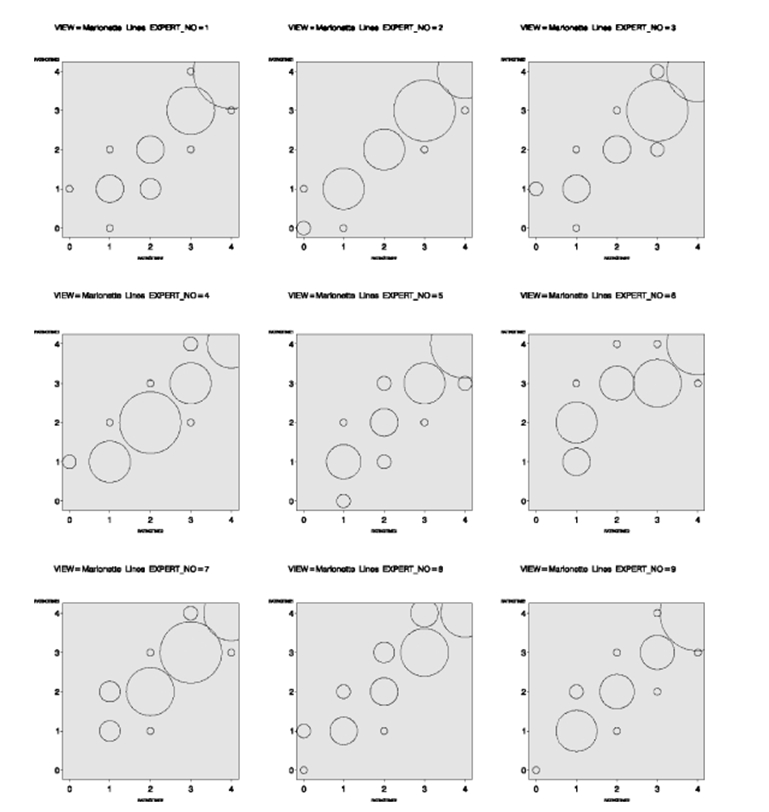
对每日评分进行描述性统计(标准差、平均值、中位数、最大值和最小值)计算(见表1)。评级的稳定性以双变量散点图(气泡图)的形式进行可视化。气泡图是一种在散点图上表示变量间关系的方法。两个变量的观测值以常规方式绘制,使用圆圈作为符号;圆圈的半径与第三个变量的关联值成比例。给定分数的频率决定了气泡的大小,这些气泡理想地位于对角线上。

效度与信度
针对每个时间点,根据病例和评估者的随机选择模型,计算了组内相关系数(ICCs)[15,16]。在这些假设下,适当的ICC(组内相关系数)将是Shrout-Fleiss随机集信度系数,当相同评估者对所有案例进行评分,且这些评估者被视为所有可能评估者的随机集合时使用该系数。Pearson相关系数被计算作为每个专家评分稳定性的重测信度估计值(经过一夜的时间间隔后,每位评价人对所有案例进行评价)。
结果
培训课程的结果不包括在评估中。
ICC系数(第一次评分0.873,第二次评分0.891)是根据9位专家对35个病例的评分计算得出的,从ICC可以看出专家之间的一致性很高。此外,经过一夜的间隔后,每位评估员的测试-重测相关系数(最小0.845,最大0.966)均很高。图2展示了每位专家的气泡图,用于比较专家之间得分的双变量频率。气泡的大小由给定分数的频率决定。如图2所示,观察到良好的个体间相关性。

图2.所有专家的气泡图
讨论
在美学医学领域,通过五级评分标准对真实生活照片与合成图像进行比较判断的量表验证结果显示,其ICC值处于中等偏高水平。用于这些估计的统计模型假设从美学医学领域的专家群体中随机抽取一部分评分者。因此,这些系数可以被视为评定者间可靠性的保守估计。测试-重测信度系数很高,表明在经过一夜的时间间隔后,评分的稳定性足够高。专家们用演变后的图像来判断真实病人的照片。演变后的图像,虽然被标准化到一个特定部位,但在临床上并不能反映衰老面部发生的多种物理变化。在严重程度的后期,木偶线会连接到鼻唇沟。照片评价和真实患者评价是不同的,因此如果临床试验使用这个经过验证的量表,临床试验中的评估应该在标准化照片上进行,而不是进行真人评估。
参考文献
[1] 中国非公立医疗机构协会整形与美容专业委员会,中国整形美容协会医美线技术分会.中国人群微创泛口周年轻化专家共识.中国医疗美容,2022,12(10):1-11.
[2] Carruthers A, Carruthers J, Hardas B, Kaur M, Goertelmeyer R, Jones D, Rzany B, Cohen J, Kerscher M, Flynn TC, Maas C, Sattler G, Gebauer A, Pooth R, McClure K, Simone-Korbel U, Buchner L. A validated grading scale for marionette lines. Dermatol Surg. 2008 Nov;34 Suppl 2:S167-72. doi: 10.1111/j.1524-4725.2008.34366.x. PMID: 19021675.
你可能感兴趣的
- 【CIRS功效评价与技术实践】第1期 双光子显微技术在化妆品功效评价中的应用实例
- 【CIRS功效评价与技术实践】第2期 化妆品功效评价创新成像之VECTRAH2 3D『上』
- 【CIRS功效评价与技术实践】第3期 拉曼技术在化妆品领域的应用
- 【CIRS功效评价与技术实践】第4期 『情绪护肤』化妆品评价体系
- 【CIRS功效评价与技术实践】第5期 『情绪护肤』之情绪的量化 ——心理学问卷:情绪评估的科学工具
- 【CIRS功效评价与技术实践】第6期 『情绪护肤』之体液水平检测 ——唾液皮质醇检测与情绪美容
- 【CIRS功效评价与技术实践】第7期 体外真发~头发热损伤模型研究分享
- 【CIRS功效评价与技术实践】第8期 泪沟与泪沟纹评价
- 【CIRS功效评价与技术实践】第9期--你的头皮健康吗?——头皮健康评价方法(上)
- 【CIRS功效评价与技术实践】第10期-你的头皮健康吗?——头皮健康评价方法(下)
- 【CIRS功效评价与技术实践】第12期 - 影响皮肤衰老的“皮肤衰老暴露组”
我们的团队
希科化妆品团队
希科检测化妆品实验室拥有资质认定CMA资质和中国合格评定国家认可委员会CNAS资质,并被列为国家药品监督管理局化妆品认可实验室。化妆品实验室设备齐全,拥有理化实验室、微生物实验室,毒理实验室,功效评价实验室。实验室技术能力优秀,在多次国内及国际能力验证中均取得满意结果,并不断在相关专利领域获得突破,同时还与多家国家级实验室拥有密切合作和深度技术交流。
化妆品团队由60多人组成,包括营销团队、客户服务团队、实验室团队,合规事务团队。在拥有全面检测能力的基础上,化妆品团队不断提升自身技术水平,完善化妆品服务体系,可为企业提供包括化妆品法规咨询、注册/备案、安全功效评价、检测等一站式服务。目前实验室团队工程师超50%,并拥有毒理学家。
相关服务:

